행위

RCCTD WikiDataCuration06

CNUDH

JYH22CNU (토론 | 기여)님의 2025년 12월 17일 (수) 22:50 판 (연구 후기 및 학우들의 감상)

데이터로 읽는 중국문화(강의) 페이지로 가기



중국 영화와 영화산업의 발전양상

: 영광과 딜레마

정윤환





목차

Contents


연구배경 연구목적 대상주제 쿼리작성 결과해석 참고자원 연구후기



연구배경


지난 30년간 중국 영화 산업은 국가 주도의 계획 경제에서 시장 중심의 산업으로, 더 나아가 거대 기술 자본이 결합된 디지털 생태계로 급격한 변모를 겪었다. 2024년 기준 8만 6천여 개의 스크린을 보유한 세계 최대 규모의 인프라와 단일 영화로 50억 위안 이상의 수익을 창출하는 내수 시장은 중국 영화의 양적 영광을 상징한다.

그러나 이러한 화려한 지표 이면에는 심각한 딜레마가 공존한다. <전랑 2>, <장진호> 등 자국 내에서 신화적인 흥행을 기록한 영화들이 글로벌 시장에서는 철저히 외면받는 문화적 할인 현상, 한국·일본 등 인접 국가들과 비교했을 때 현저히 저조한 국제 영화제 실적, 그리고 국영 기업에서 인터넷 기업으로 주도권이 넘어가는 과정에서 발생하는 콘텐츠의 획일화 문제는 산업의 지속 가능성에 의문을 제기한다.

본 프로젝트는 12개의 SPARQL 쿼리 데이터셋을 분석의 토대로 삼아, 중국 영화 산업이 직면한 이러한 거대 내수와 빈약한 글로벌 영향력의 이중적 상황을 실증적으로 규명하고자 한다.




연구목적


본 연구는 총 15개의 시각화된 데이터 쿼리(Query)를 통해 다음 세 가지 핵심 질문에 답하는 것을 목적으로 한다.

1. 산업 주도권의 구조적 변동과 양적 팽창

  • 목적: 지난 30년간 중국 영화 산업의 폭발적인 성장세를 확인하고, 영화 제작의 주도권이 '국영 영화사(차이나 필름 등)'에서 '민간(화이 브라더스 등)', 그리고 '인터넷 기술 기업(알리바바, 텐센트 등)'으로 이동했음을 실증한다. 또한, 자본 투입 대비 흥행 수익 데이터를 통해 내수 시장의 경제적 효율성을 분석한다.
  • 관련 데이터:
    • 최근 30년 중국 영화 제작 편수 추이 (Query 9)
    • 중국 영화 장르 분포 (Query 10)
    • 주요 영화 제작사 분석 (Query 11)
    • 중국 영화 권력 이동: 국영 vs 민간 vs 인터넷 기업 (Query 11-1)
    • 제작비와 흥행 수익 상관관계 (Query 6)


2. 소프트 파워의 실체와 '갈라파고스화' 진단

  • 목적: 중국 영화의 국제적 위상을 객관적으로 평가한다. 특히 한·중·일 3국의 해외 영화제 수상 실적을 비교하여 동북아시아 내 중국 영화의 영향력 변화를 추적하고, 거대한 내수 수익과 미미한 월드와이드 수익 간의 매출 격차를 시각화하여 중국 영화가 직면한 '문화적 고립' 현상을 규명한다.
  • 관련 데이터:
    • 중국 영화 수익 분석: 내수 vs 전세계 (Query 6-1)
    • 주요 국제 영화제 수상 및 후보작 현황 (Query 7)
    • 한·중·일 순수 해외 영화제 실적 추이 (Query 7-1)
    • 국가별 주요 영화제 진출작 트리맵 (Query 8)
    • 수상/후보작 영화 이미지 그리드 (Query 5)


3. 창작 생태계와 인적 인프라의 입체적 조망

  • 목적: 감독들의 출생·사망·데뷔 시기를 입체적으로 분석하여 세대 교체(제5세대, 제6세대, 신진 감독) 흐름을 파악하고, 주요 거장들의 국제적 성취를 확인한다. 아울러 영화 촬영지 및 영화관의 지리적 분포를 통해 산업의 물리적 기반이 어떻게 확장되었는지 확인한다.
  • 관련 데이터:
    • 국제 영화제 수상 중국 감독 (Query 1 & 1-1)
    • 감독 세대 및 데뷔 시기 분석 (Query 12)
    • 영화 감독들의 출생 장소 (Query 4)
    • 중국 내 영화 촬영지 분석 (Query 2)
    • 중국 전국 영화관 지도 (Query 3)





대상주제


1900년대 후반부터 2024년까지 위키데이터(Wikidata) 지식그래프를 기반으로 중국 영화 산업의 폭발적인 양적 팽창(내수/인프라)과 대비되는 글로벌 경쟁력의 정체 (수상/해외수익)를 분석하고, 산업을 주도하는 자본 권력이 '국가(State)'에서 '플랫폼(Platform)'으로 이동하는 구조적 변동을 시계열 데이터로 규명한다.


쿼리작성


1. 국제 영화제 수상 중국 감독
국제 영화제에서 상을 타본 적이 있는 중국 영화 감독들을 찾아보자
SELECT ?person ?personLabel ?award ?awardLabel
WHERE {
?person wdt:P27 wd:Q148; # 중국 국적
wdt:P106 wd:Q2526255; # 영화 감독
wdt:P166 ?award. # 수상 경력
?award wdt:P31 wd:Q19020. # 영화제 상
SERVICE wikibase:label {bd:serviceParam wikibase:language "ko, zh, en". }
}


1-1. 국제 영화제 후보 및 사망 여부
국제 영화제에서 후보로 올라간 영화 감독들을 찾아보자. 단, 사망한 인물이면 표시해보자
SELECT ?person ?personLabel ?nominated ?nominatedLabel ?death
WHERE {
?person wdt:P27 wd:Q148; # 중국 국적
wdt:P106 wd:Q2526255; # 영화 감독
wdt:P1411 ?nominated. # 후보 경력
?nominated wdt:P31 wd:Q19020. # 영화제
OPTIONAL {?person wdt:P570 ?death.} # 사망일
SERVICE wikibase:label { bd:serviceParam wikibase:language "ko, zh, en". }
}


2. 중국 내 영화 촬영지 분석
최근 중국 내에서 영화 촬영지로 사용된 장소들을 분석하여, 촬영된 영화 개수 순으로 정렬(상위 20곳)
SELECT ?place ?placeLabel (COUNT(?film) AS ?count)
WHERE {
?film wdt:P31 wd:Q11424. # 영화
?film wdt:P915 ?place. # 촬영지
?place wdt:P17 wd:Q148. # 촬영지가 중국
SERVICE wikibase:label { bd:serviceParam wikibase:language "ko,zh,en". }
}
GROUP BY ?place ?placeLabel
ORDER BY DESC(?count)
LIMIT 20


3. 중국 전국 영화관 지도
중국 전국 영화관을 지도로 보여줘
#defaultView:Map
SELECT ?place ?placeLabel ?location
WHERE {
?place wdt:P31 wd:Q41253. # 인스턴스 : 영화관
?place wdt:P17 wd:Q148. # 국가 : 중국
?place wdt:P625 ?location. # 좌표
SERVICE wikibase:label { bd:serviceParam wikibase:language "ko,zh,en". }
}


4. 영화 감독들의 출생 장소
영화 감독들의 출생 장소를 지도로 보여줘
#defaultView:Map
SELECT ?director ?directorLabel ?birthPlace ?birthPlaceLabel ?location
WHERE {
?director wdt:P106 wd:Q2526255. # 직업: 영화 감독
?director wdt:P19 ?birthPlace. # 출생지
?birthPlace wdt:P17 wd:Q148. # 국가: 중국
?birthPlace wdt:P625 ?location. # 좌표 (
SERVICE wikibase:label { bd:serviceParam wikibase:language "ko,zh,en". }
}


5. 수상/후보작 영화 이미지 그리드
중국 영화 중 자국 영화제를 제외한 국제 시상식 수상작 혹은 후보작들의 이미지 생성해 줘
#defaultView:ImageGrid
SELECT DISTINCT ?film ?filmLabel ?image
WHERE {
?film wdt:P31 wd:Q11424; # 영화
wdt:P495 wd:Q148; # 제작 국가: 중국
wdt:P18 ?image. # 이미지

# 상|후보|참여 데이터 찾기
?film wdt:P166|wdt:P1411|wdt:P1344 ?thing.

{
# [경로 A] 직통 / 소속
 ?thing wdt:P1027|wdt:P361 ?festival.
}
UNION
{
# [경로 B] 회차 경유
 ?thing wdt:P1027|wdt:P361 ?edition.
 ?edition wdt:P361 ?festival.
}
UNION
{
# [경로 C] 상의 종류(Class)를 통한 간접 연결 (P31 경유)
 ?thing wdt:P31/wdt:P1027 ?festival.
}

# 중국(Q148) 영화제 제외
?festival wdt:P17 ?country.
FILTER(?country != wd:Q148)

SERVICE wikibase:label { bd:serviceParam wikibase:language "ko,zh,en". }
}
LIMIT 50


6. 제작비와 흥행 수익 상관관계
중국제작영화들의 제작비와 흥행 수익을 scatter chart에 표시해보자
#defaultView:ScatterChart
SELECT ?budget ?boxOffice ?film ?filmLabel
WHERE {
?film wdt:P31 wd:Q11424; # 영화
wdt:P495 wd:Q148. # 중국
OPTIONAL { ?film wdt:P2130 ?budget. } # 제작비
OPTIONAL { ?film wdt:P2142 ?boxOffice. } # 흥행 수익
FILTER(BOUND(?budget) && BOUND(?boxOffice))
SERVICE wikibase:label { bd:serviceParam wikibase:language "ko,en,zh". } }
6-1. 중국 영화 수익 분석: 내수(Domestic) vs 전세계(Worldwide)
중국 영화 중 내수 수익과 월드와이드 수익 데이터가 모두 있는 작품들만 뽑아서 비교해보자br/> #defaultView:LineChart
SELECT ?filmLabel ?revenue ?placeLabel
WHERE {
# [1단계] '두 조건'을 모두 만족하는 영화 중 흥행 TOP 30 선정
{
SELECT ?film (MAX(?amount) AS ?maxRevenue)
WHERE {
 ?film wdt:P31 wd:Q11424; # 영화
wdt:P495 wd:Q148; # 국가: 중국
wdt:P2142 ?amount. # 수익 금액 (정렬용)

# [조건 1] 중국(Domestic) 수익 데이터 존재
FILTER EXISTS {
 ?film p:P2142 ?s1.
 ?s1 pq:P3005 wd:Q148;
}

# [조건 2] 월드와이드(Worldwide) 수익 데이터 존재
FILTER EXISTS {
 ?film p:P2142 ?s2.
 ?s2 pq:P3005 wd:Q13780930;
}
}
GROUP BY ?film
ORDER BY DESC(?maxRevenue)
}

# [2단계] 선정된 영화들의 데이터 추출
 ?film p:P2142 ?statement.
 ?statement ps:P2142 ?revenue;
pq:P3005 ?place;

# [3단계] 필요한 두 분류만 남기기
VALUES (?place ?placeLabel) {
(wd:Q148 "중국(Domestic)")
(wd:Q13780930 "전세계(Worldwide)")
}

SERVICE wikibase:label { bd:serviceParam wikibase:language "ko,zh,en". }
}


7. 주요 국제 영화제 수상 및 후보작 현황
주요 국제 영화제에서 수상했거나 후보에 오른 중국 영화들을 확인해보자
SELECT ?film ?filmLabel ?status ?festival ?festivalLabel ?award ?awardLabel
WHERE {
?film wdt:P31 wd:Q11424; # 영화
wdt:P495 wd:Q148. # 중국
VALUES ?festival {
wd:Q42369 # 칸
wd:Q49024 # 베니스
wd:Q130871 # 베를린
wd:Q482633 # 부산
wd:Q477369 # 상하이
}
{
 ?film wdt:P166 ?award. # 수상 경력
 ?award wdt:P1027 ?festival. # 상의 수여 주체가 위 영화제인 경우
BIND("수상" AS ?status)
}
UNION
{
 ?film wdt:P1411 ?award. # 후보 경력
 ?award wdt:P1027 ?festival. # 상의 수여 주체가 위 영화제인 경우
BIND("후보" AS ?status)
}
SERVICE wikibase:label { bd:serviceParam wikibase:language "ko,zh,en". }
}
ORDER BY ?filmLabel ?status


7-1. 한·중·일 순수 해외 영화제 실적 추이 (자국 개최 제외)
한·중·일 3국의 자국 영화제를 제외한 해외 영화제 수상 및 후보작 숫자를 카운트해서 라인 차트로 비교해보자
#defaultView:LineChart
SELECT ?yearLabel ?count ?countryLabel
WHERE {
{
SELECT ?yearLabel ?country (COUNT(DISTINCT ?thing) AS ?count)
WHERE {
VALUES ?country { wd:Q148 wd:Q884 wd:Q17 }

 ?film wdt:P31 wd:Q11424; # 영화
wdt:P495 ?country; # 국가
wdt:P577 ?pubDate. # 개봉일

# 기간 설정: 1990년 ~ 2024년
FILTER(?pubDate >= "1990-01-01"^^xsd:dateTime &&
 ?pubDate <= "2024-12-31"^^xsd:dateTime)
BIND(STR(YEAR(?pubDate)) AS ?yearLabel)

 ?film wdt:P166|wdt:P1411|wdt:P1344 ?thing.
{
# 여러 경로 탐색: 직통 / 회차 경유 / 소속
 ?thing wdt:P1027|wdt:P361|
(wdt:P1027/wdt:P361)|
(wdt:P361/wdt:P361) ?festival.
}
UNION
{
# 상의 종류(Class)를 통한 간접 연결 (P31 경유)
 ?thing wdt:P31 ?awardClass.
 ?awardClass wdt:P1027 ?festival.
}

# festival의 국적 확인 및 자국 영화제 제외
 ?festival wdt:P17 ?festCountry.

# 개최국이 한/중/일이 아닌 경우만
FILTER(?festCountry != wd:Q148 &&
 ?festCountry != wd:Q884 &&
 ?festCountry != wd:Q17)
}
GROUP BY ?yearLabel ?country
}
SERVICE wikibase:label { bd:serviceParam wikibase:language "ko,en". }
}
ORDER BY ?yearLabel


8. 국가별 주요 영화제 진출작 트리맵
9개국의 주요 영화제 후보작과 수상작을 출력해줘
#defaultView:TreeMap
SELECT DISTINCT ?countryLabel ?filmLabel
WHERE {
VALUES ?country {
wd:Q148 # 중국
wd:Q142 # 프랑스
wd:Q145 # 영국
wd:Q30 # 미국
wd:Q884 # 대한민국
wd:Q17 # 일본
wd:Q38 # 이탈리아
wd:Q183 # 독일
wd:Q29 # 스페인
}
VALUES ?festival {
wd:Q42369 # 칸 영화제
wd:Q49024 # 베니스 영화제
wd:Q130871 # 베를린 영화제
}
 ?film wdt:P31 wd:Q11424; # 인스턴스: 영화
wdt:P495 ?country. # 제작 국가
 ?film wdt:P166|wdt:P1411 ?award.
 ?award wdt:P1027 ?festival.
SERVICE wikibase:label { bd:serviceParam wikibase:language "ko,zh,en". }
}
LIMIT 1000


9. 최근 30년 중국 영화 제작 편수 추이
중국 영화의 최근 30년(1995~2024) 간 제작 편수 변화를 연도별로 확인해보자
#defaultView:BarChart
SELECT ?yearLabel (COUNT(?film) AS ?count)
WHERE {
 ?film wdt:P31 wd:Q11424; # 영화
wdt:P495 wd:Q148; # 중국
wdt:P577 ?pubDate. # 개봉일
 BIND(YEAR(?pubDate) AS ?year)
FILTER(?year >= 1995 && ?year <= 2024)
BIND(STR(?year) AS ?yearLabel)
}
GROUP BY ?yearLabel ?year
ORDER BY ?year


10. 중국 영화 장르 분포 (버블 차트)
중국 영화의 장르별 분포를 버블 차트로 확인해보자
#defaultView:BubbleChart
SELECT ?genreLabel (COUNT(?film) AS ?count)
WHERE {
 ?film wdt:P31 wd:Q11424; # 영화
wdt:P495 wd:Q148; # 제작 국가: 중국
wdt:P136 ?genre. # 장르
SERVICE wikibase:label { bd:serviceParam wikibase:language "ko,zh,en". }
}
GROUP BY ?genreLabel
ORDER BY DESC(?count)
LIMIT 30


11. 주요 영화 제작사 분석
중국 영화 제작사별 제작 편수 순위를 확인해보자
SELECT ?company ?companyLabel (COUNT(?film) AS ?count)
WHERE {
 ?film wdt:P31 wd:Q11424; # 영화
wdt:P495 wd:Q148; # 제작 국가: 중국
wdt:P272 ?company. # 제작사
SERVICE wikibase:label { bd:serviceParam wikibase:language "ko,zh,en". }
}
GROUP BY ?company ?companyLabel
ORDER BY DESC(?count)
LIMIT 20
11-1. 중국 영화 권력 이동: 국영 vs 민간 vs 인터넷 기업
주요 국영, 민간, 인터넷 영화 기업의 연도별 제작 편수 추이를 라인차트로 비교해보자
#defaultView:LineChart
SELECT ?year ?count ?categoryLabel
WHERE {
{
SELECT ?year ?categoryLabel (COUNT(DISTINCT ?film) AS ?count)
WHERE {
VALUES (?company ?categoryLabel) {
(wd:Q1073380 "국영(State-owned)") # 차이나 필름 그룹
(wd:Q10873941 "국영(State-owned)") # 차이나 필름 (주)
(wd:Q7488442 "국영(State-owned)") # 상하이 필름 그룹
(wd:Q7488444 "국영(State-owned)") # 상하이 영화 제작소
(wd:Q10872932 "국영(State-owned)") # 8.1 영화 제작소
(wd:Q5071736 "국영(State-owned)") # 장춘 영화 제작소
(wd:Q17067015 "국영(State-owned)") # 서부 영화 그룹

(wd:Q8007810 "민간(Private)") # 화이 브라더스
(wd:Q10909544 "민간(Private)") # 보나 필름
(wd:Q25054226 "민간(Private)") # 완다 미디어
(wd:Q28472070 "민간(Private)") # 광선 미디어

(wd:Q11079561 "인터넷(Tech)") # 알리바바 픽처스
(wd:Q22080095 "인터넷(Tech)") # 텐센트 픽처스
(wd:Q15913890 "인터넷(Tech)") # 아이치이
(wd:Q110852757 "인터넷(Tech)") # 아이치이 픽처스
}

 ?film wdt:P31 wd:Q11424; # 영화
wdt:P495 wd:Q148; # 국가: 중국
wdt:P272 ?company; # 제작사
wdt:P577 ?pubDate. # 개봉일

BIND(str(YEAR(?pubDate)) AS ?year)
FILTER(YEAR(?pubDate) >= 1995 && YEAR(?pubDate) <= 2024)
}
GROUP BY ?year ?categoryLabel
}
SERVICE wikibase:label { bd:serviceParam wikibase:language "ko,en". }
}
ORDER BY ?year


12. 감독 세대 및 데뷔 시기 분석 (Dimensions)
중국 감독들의 출생년도, 사망년도, 그리고 첫 영화 개봉(데뷔) 시기를 입체적으로 분석해보자
#defaultView:Dimensions
SELECT ?personLabel ?birthYear ?deathYear ?age ?careerStart
WHERE {
 ?person wdt:P31 wd:Q5 ; # 인간
wdt:P27 wd:Q148 ; # 중국 국적
wdt:P106 wd:Q2526255 ; # 영화 감독
wdt:P569 ?birth . # 출생일
 {
SELECT ?person (MIN(?pubDate) AS ?firstMovieDate)
WHERE {
 ?person wdt:P27 wd:Q148 ; wdt:P106 wd:Q2526255 .
 ?film wdt:P31 wd:Q11424 ; # 영화
wdt:P57 ?person ; # 감독 = ?person
wdt:P577 ?pubDate . # 개봉일
}
GROUP BY ?person
}
 OPTIONAL { ?person wdt:P570 ?death. }
 BIND(YEAR(?birth) AS ?birthYear)
BIND(YEAR(?death) AS ?deathYear)
BIND(COALESCE(?deathYear, 2024) - ?birthYear AS ?age)
BIND(YEAR(?firstMovieDate) AS ?careerStart) # 실제 첫 영화 개봉년도
 FILTER(?birthYear >= 1900 && ?birthYear <= 2000)
FILTER(?age > 0)
 SERVICE wikibase:label { bd:serviceParam wikibase:language "ko,zh,en". }
}

결과해석



본 리포트는 위키데이터의 SPARQL 쿼리 분석을 통해 중국 영화 산업의 거대한 성장 궤적과 그 이면에 가려진 국제적 딜레마, 그리고 산업을 움직이는 권력 지형의 변화를 3개의 챕터로 나누어 조망한다.

Chapter 1. 성장:폭발적 팽창과 자립적 생태계

중국 영화 산업은 지난 30년간 '세계의 공장'에서 '세계의 시장'으로 변모하며 유례없는 양적 팽창을 이룩했다.

1.1 데이터의 공백과 수직적 생산량

3번쿼리.png
9번쿼리.png

먼저 [3번 쿼리]를 통해 물리적 인프라(영화관)의 확장을 시각화하고자 했으나, 위키데이터의 한계로 인해 완전한 지도를 그려내는 데는 어려움이 있었다. 그러나 이를 보완하는 [9번 쿼리: 연도별 영화 제작 편수]는 산업의 폭발력을 명확하게 보여준다.
1995년 이후 완만하던 제작 편수 그래프는 2010년대를 기점으로 수직 상승했다. 2020년 팬데믹으로 인한 일시적 충격을 제외하면, 이 거대한 생산 라인은 멈추지 않고 돌아가고 있다. (최근 데이터의 감소는 위키데이터에 반영이 안된 것으로 해석된다.)

1.2 홍콩, 대륙의 스승

2번쿼리.png

이러한 성장의 근원에는 '홍콩'이라는 스승이 있었다. [2번 쿼리] 분석 결과, 상위 촬영지에서 홍콩이 차지하는 비중은 압도적이었다. 이는 1980~90년대 아시아를 호령했던 홍콩 영화의 기술적·인적 자산이 대륙으로 이식되었음을 시사한다. 초기 중국 영화는 홍콩의 시스템을 빌려 뼈대를 세우고 살을 찌웠다.

1.3 자본의 가성비: <퍼시픽 림>의 교훈과 내수의 고효율

6번쿼리.png

[6번 쿼리]의 산점도(Scatter Chart)는 제작비(X축)와 흥행 수익(Y축)의 상관관계를 통해 중국 영화 산업의 '투자 효율성' 변화를 적나라하게 보여준다. 이 차트에서 발견되는 <퍼시픽 림(Pacific Rim)>과 최근 중국 토종 블록버스터들의 위치 차이는 매우 상징적이다.

  • <퍼시픽 림> : "가성비 낮은 글로벌 도전"

차트 상에서 <퍼시픽 림>은 제작비(X축)가 매우 높게 찍혀 있다. 물론 수익도 높았지만, 이 수익을 얻기 위해 전 세계 마케팅과 배급망을 뚫어야 했다. 즉, '투입 비용(Input)은 막대하고 과정은 복잡한데, 그에 비해 순이익률은 평범한' 고비용 구조다. 중국 자본 입장에서 글로벌 진출은 가성비가 떨어지는 사업이었던 셈이다.

  • <장진호> : "압도적인 내수 가성비"
6-1쿼리.png

반면, 차트의 최상단(Y축)을 점령한 최근 중국 내수 영화들을 보자. 이들은 <퍼시픽 림> 못지않거나 그보다 적은 제작비를 쓰고도, 오직 중국 내수 시장 하나만으로 훨씬 더 높은 수익을 수직으로 쏘아 올렸다. 특히 [6-1번 쿼리]와 연결해 보면, 이들은 복잡한 해외 배급 비용도 들지 않았다. 자국민의 애국심과 소비 심리만 자극하면, 훨씬 더 적은 수고로 더 막대한 마진을 남길 수 있는 초고효율의 금광이 바로 내수 시장임이 증명된 것이다.

  • 해석:

결국 데이터는 중국 영화계가 왜 굳이 세계화를 포기하고 '고립'을 택했는지 경제적 논리로 설명해 준다. 그들에게 내수 시장은 세계 시장보다 가성비가 월등히 좋은 투자처이기 때문이다. <퍼시픽 림>을 통해 글로벌 확장의 고비용 저효율을 학습한 중국 자본은, 이제 가장 쉽고 확실하게 돈을 버는 내수 요새화 전략으로 선회했다.

Chapter 2. 딜레마: 화려한 고립 (시장 규모와 문화적 영향력의 괴리)

그러나 거대해진 내수 시장이라는 성벽 안에서, 중국 영화는 '국제적 인정'이라는 측면에서 심각한 딜레마에 봉착해 있다.

2.1 거인의 초라한 성적표

8번 쿼리.png

[8번 쿼리]를 통해 칸, 베니스, 베를린 등 세계 3대 영화제 진출 성과를 분석한 결과, 중국의 비중은 압도적인 시장 규모(Chapter 1)에 비해 턱없이 부족했다. 프랑스, 미국 등 전통 강국은 물론, 아시아 이웃 국가들과 비교해도 그 격차는 뚜렷하다.

2.2 엇갈린 한중일의 희비

7번쿼리.png
7-1쿼리.png

[7번, 7-1번 쿼리]는 이 '화려한 고립'을 더욱 적나라하게 보여준다.
한국이 <기생충>을 필두로 상업성과 예술성을 동시에 거머쥐고, 일본이 고레에다 히로카즈 등 확고한 작가군을 통해 예술 영화의 명맥을 잇는 동안, 중국의 그래프는 침묵하고 있다.
1980~90년대 <붉은 수수밭>, <패왕별희>로 세계를 놀라게 했던 5세대 감독들의 영광은 희미해졌다. 자본과 체제 선전이 결합된 '주선율 영화'가 내수 시장에서는 천문학적 수익을 올릴지언정, 보편적 예술 가치를 중시하는 국제 무대에서는 철저히 외면받고 있다는 방증이다.

Chapter 3. 주역: 권력의 이동과 시스템의 그늘

그렇다면 이 거대한 산업을 움직이는 주체는 누구이며, 창작자들은 어디에 있는가?

3.1 권력의 대이동: 국영에서 인터넷 기업으로

11번쿼리.png
11-1쿼리.png

[11번, 11-1번 쿼리]는 권력의 무게중심이 이동하는 과정을 포착했다.
국영 기업(차이나 필름 그룹)의 독점 시대와 민간 제작사(화이 브라더스 등)의 르네상스를 지나, 현재는 알리바바, 텐센트 등 테크 공룡이 자본과 플랫폼을 무기로 시장을 장악했다. 이제 중국 영화는 국영의 허가권, 민간의 제작 노하우, 그리고 인터넷 기업의 거대 자본이 결합된 합작 프로젝트의 형태로 생산된다.

3.2 사라지는 주역들

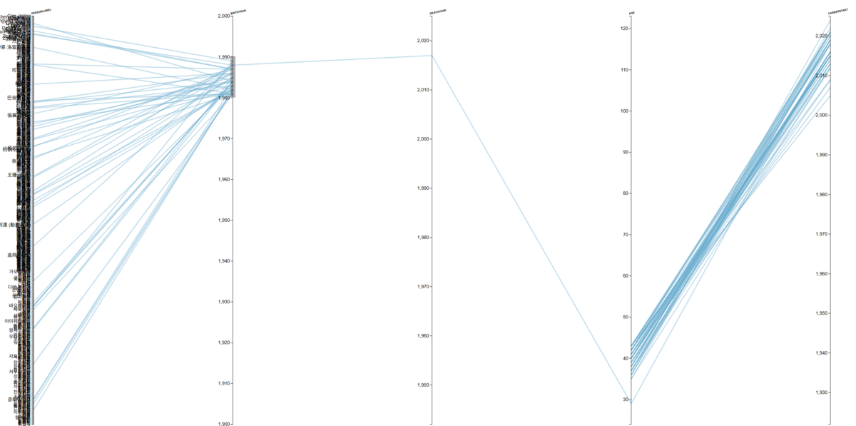
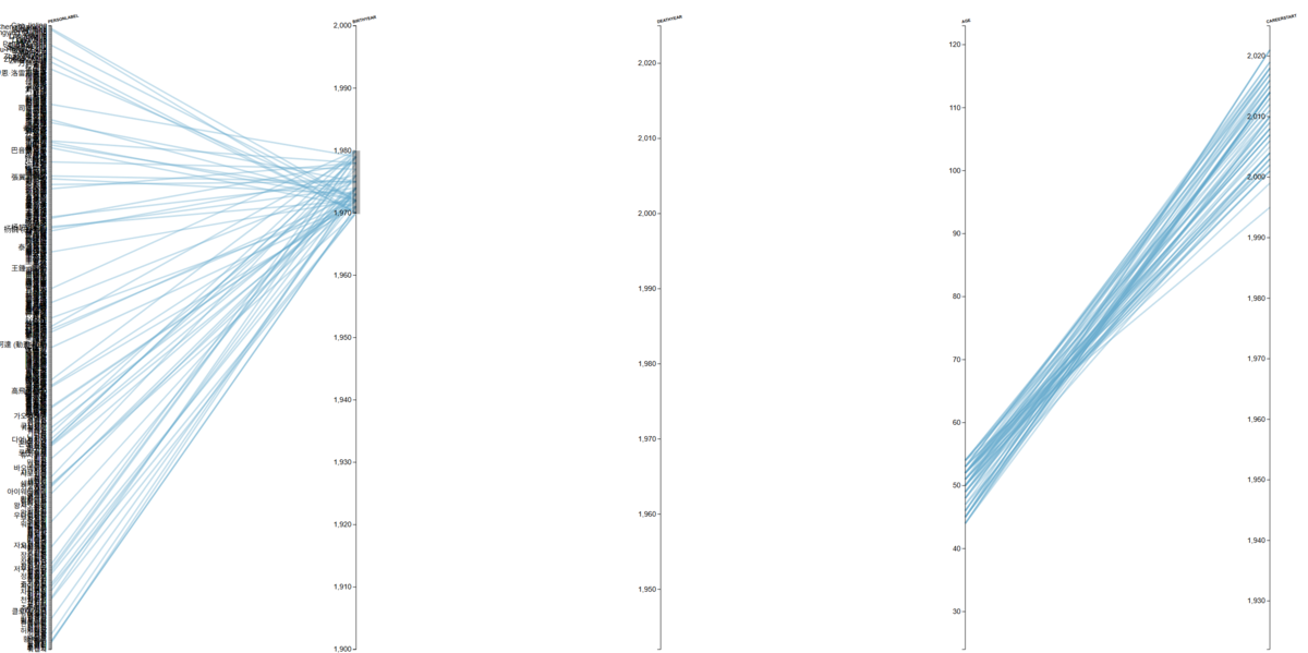
1번 쿼리.png
1-1 쿼리.png

이 거대한 시스템 속에서 [1번, 1-1번 쿼리]로 확인된 국제 수상 감독의 수는 수천 편의 제작 편수에 비해 극히 미미하다. 쿼리로 보다시피 독창적인 목소리를 낼 수 있는 예술가들은 점차 사라지거나 소수화되고 있다.

3.3 데이터의 역설: 정렬된 선의 패턴

12번쿼리(1950~1960).png
12번쿼리(60~70).png
12번쿼리(70~80).png
12번쿼리(80~90.png

가장 주목해야 할 지점은 [12번 쿼리]를 통해 분석한 감독들의 데뷔 시점이다. 과거 불규칙하게 산재해 있던 데이터(점)들이 최근 10년 단위로 올수록 하나의 뚜렷한 '선(Line)'으로 수렴하는 현상이 관측된다.

하지만 이 '선'으로의 정렬은 양날의 검이다. 산업이 안정화되었다는 증거이기도 하지만, 동시에 감독들이 거대 자본과 시스템이 짜놓은 정형화된 틀 안에서만 배출되고 있다는 의미일 수도 있다. 과거 야생적인 환경에서 튀어나왔던 독창적인 거장들과 달리, 시스템화된 현재의 구조가 과연 새로운 색깔을 가진 '작가'를 낳을 수 있을지는 지켜봐야 할 것이다.



[종합 결론]

데이터는 중국 영화 산업이 양적 성장의 정점에 도달했음을 보여준다. 내수 시장만으로 생존 가능한 독자적인 생태계를 구축했으나(Ch.1), 그 대가로 국제적 문화 영향력을 상실하는 갈라파고스화가 진행되고 있으며(Ch.2), 산업의 주도권이 효율성을 중시하는 테크 자본과 관료적 시스템으로 넘어가면서 예술적 다양성이 거세되는 구조적 한계(Ch.3)를 드러내고 있다.


참고자원


(내용 서술)


연구 후기 및 학우들의 감상


정윤환 (😭🤪🧐‼️👍🏻💡)

최대한 준비를 한다고 했지만 아쉬움이 남는다. 발표에서 안들켜서 다행이지만 사실 데이터의 허점이 정말 많아서 그것을 보충하는 쿼리를 더 만들지 못한게 아쉽다. 예를 들어 한중일 3국의 영화제 성과를 비교한 쿼리에서 사실 후반기로 가면 한국도 중국과 비슷한 수준의 성과를 보여주었는데, 이를 보충할 쿼리를 만들지 못한게 아쉽다.


김성산 (😭🤪🧐‼️👍🏻💡)

중국 영화 산업의 양적 팽창과 중국 내부에 산업 비교를 다양한 시각화 데이터를 통해 날카롭게 분석한 수준 높은 발표였다.


최다혜 (🎞️🎞️📽️📽️🎬🎬〰️👊🏻👊🏻👊🏻👊🏻)

(발표 전반에서 영화에 대한 발표자의 애정과 이해도가 잘 드러났다. 쿼리 구성 또한 매우 탄탄하여 분석의 설득력을 높였다. 레포트 역시 자료 선정과 흐름이 잘 정리되어 있어 주제 이해에 도움이 되었으며, 전반적으로 완성도가 높은 연구라는 인상을 받았다. 위키의 데이터부족이 오히려 아쉬운 점이 되었던 좋은 발표였다.)


김태현 (😭🤪🧐‼️👍🏻💡)

중국 영화 산업을 성장의 성공담이 아닌 구조적 선택의 결과로 분석해 낸 시각이 매우 날카롭다. 데이터를 통해 내수 효율, 국제적 고립, 권력 이동을 하나의 논리로 엮으며, 양적 팽창이 곧 문화적 영향력은 아니라는 점을 설득력 있게 드러냈다.


신서령 (😭🤪🧐‼️👍🏻💡)

영화에 대한 흥미와 관심이 잘 드러나는 발표였던 것 같다.


박승정 (😭🤪🧐‼️👍🏻💡)

자신의 주제에 대한 흥미가 상당히 높아보이고 그러한 시너지가 잘 드러난 발표인 것 같다.


황시아 (😭🤪🧐‼️👍🏻💡)

(이곳에 학우의 연구에 대한 감상을 남겨주세요)


김은지 (😭🤪🧐‼️👍🏻💡)

(이곳에 학우의 연구에 대한 감상을 남겨주세요)


강현지 (😭🤪🧐‼️👍🏻💡)

(중국 영화계 내부 사정을 데이터화하니 신기했다.)


YEFENG (😭🤪🧐‼️👍🏻💡)

(이곳에 학우의 연구에 대한 감상을 남겨주세요)


QUAN (😭🤪🧐‼️👍🏻💡)

(이곳에 학우의 연구에 대한 감상을 남겨주세요)





주석